publications
2026
-
[J.8] Design, fabrication, and testing of an ergonomic brace for virtual reality headset using 3D printingFelipe Z. Santos, Changwon Son, Hanjun Park, and 3 more authorsErgonomics, Apr 2026Rapid adoption of virtual reality (VR) headsets introduced new ergonomic challenges, particularly neck strain caused by head-supported mass. This study presents a methodological framework for designing ergonomic interventions using 3D scanning, computer-aided design, and additive manufacturing. A VR ergonomic intervention-brace (VRB) was developed to redistribute headset load from the neck to the shoulders. Thirty-two participants performed office-simulated VR tasks under standard and VRB conditions. Neck muscle activity was assessed using surface electromyography, perceived discomfort using Borg’s scale, and task performance using Fitts’ law-based accuracy and reaction time. Results showed that the VRB significantly reduced cervical trapezius (-13%) and sternocleidomastoid (-12%) activation without affecting task performance. However, perceived neck discomfort increased with the VRB, likely due to mobility constraints. The methodology integrated anthropometric data and digital fabrication, enabling customized, low-cost ergonomic interventions. Findings highlight the potential of additive manufacturing for rapid, anthropometrically informed design of support systems addressing VR-related musculoskeletal risks.
@article{Santos2026_3D_VR_Print, title = {Design, fabrication, and testing of an ergonomic brace for virtual reality headset using 3D printing}, author = {Santos, Felipe Z. and Son, Changwon and Park, Hanjun and Xu, Changxue and Yang, James and Liang, Nade}, journal = {Ergonomics}, year = {2026}, month = apr, pages = {1--15}, tag = {J.8}, sortkey = {8}, doi = {10.1080/00140139.2026.2653007}, } -
[J.7] Adaptation to a whole-body powered exoskeleton: Human-exoskeleton coordination during load-handling tasksHanjun Park, Sunwook Kim, Maury A. Nussbaum, and 1 more authorAnnals of Biomedical Engineering, Mar 2026Whole-body powered exoskeletons can augment human performance and reduce physical strain in occupational settings, but little is known about how users adapt to these complex devices during practical work scenarios. We compared novice and experienced users during simulated, occupationally relevant load-handling tasks. Six novice users completed exoskeleton familiarization and stationary load-handling tasks in three sessions while five experienced users performed the tasks once. Task performance, biomechanical demands, and perceived workload were compared in each novice session vs. the experienced group. Novice performance improved substantially across sessions, with task completion time reduced by nearly 50% and movement jerk by 30%. However, performance gaps still persisted in session three, compared to the experienced users. Novices also used consistently lower angular velocities (up to 52% lower) and adopted a greater hip flexion throughout the sessions. In contrast, differences in shoulder flexion, muscle activity, and perceived exertion and workload diminished more rapidly, with novices approaching experienced levels by session three. Novice users adapted to using a powered exoskeleton over multiple sessions, especially in movement patterns and muscle activation, but differences in task completion time, jerk index, and angular velocities indicated that novices did not attain the skilled coordination and efficiency of experienced users after three sessions. Our results highlight the likely need for extended familiarization and training for the current powered exoskeleton design and provide baseline data for the novice learning curve in occupational settings.
@article{park2026_exo_adaptation, title = {Adaptation to a whole-body powered exoskeleton: Human-exoskeleton coordination during load-handling tasks}, author = {Park, Hanjun and Kim, Sunwook and Nussbaum, Maury A. and Srinivasan, Divya}, journal = {Annals of Biomedical Engineering}, pages = {1--15}, year = {2026}, month = mar, tag = {J.7}, sortkey = {7}, doi = {10.1007/s10439-026-04025-9}, }
2025
-
[J.6] Muscle synergy analysis during pseudo-static and dynamic overhead tasks with arm-support exoskeletonsHanjun Park and Maury A. NussbaumJournal of Biomechanics, Dec 2025Occupational arm-support exoskeletons (ASEs) can reduce shoulder muscle activity during overhead work, but their effects on muscle synergy structure and temporal activation remain limited. We examined the effects of using three different exoskeletons on muscle synergies during simulated overhead tasks. Muscle activity from 18 participants (gender-balanced) performing both pseudo-static and dynamic tasks across 24 conditions (three ASEs and a control condition) was analyzed using non-negative matrix factorization to extract synergy number, structure, and activation coefficients. Dynamic tasks recruited more muscle synergies (interquartile range: 2–5) than pseudo-static tasks (interquartile range: 1–3), with some task combinations showing modest increases with ASE use compared to the control condition. Synergy structure and temporal activation were generally similar across interventions (mean cosine similarity 0.74–0.92), but certain ASE-task combinations produced significant local changes in synergy structure. Using exoskeletons generally altered muscle weightings, shifting from primary arm-elevating and shoulder-stabilizing muscles toward modules involving neck and back muscles, suggesting compensatory strategies for device-imposed biomechanical demands. Activation time courses remained highly similar across most interventions during pseudo-static tasks, though dynamic tasks showed reduced peak magnitude with exoskeleton use. Our results indicate that while modular motor control is largely preserved with ASE use, device- and task-specific adaptations in synergy structure and temporal activation can occur. Future research should explore how ASE design features influence neuromuscular strategies and assess long-term adaptation of muscle synergies in occupational settings.
@article{park2025_synergy, title = {Muscle synergy analysis during pseudo-static and dynamic overhead tasks with arm-support exoskeletons}, author = {Park, Hanjun and Nussbaum, Maury A.}, journal = {Journal of Biomechanics}, pages = {113135}, year = {2025}, month = dec, tag = {J.6}, sortkey = {6}, doi = {10.1016/j.jbiomech.2025.113135}, } -
[J.5] Efficacy of virtual reality-based approach for users to understand the potential benefits and limitations of using exoskeletonsVishwajeet Ransing, Jangho Park, Yang Ye, and 4 more authorsHuman Factors, Nov 2025This study evaluates a virtual reality (VR)–based training approach designed to help users understand the potential benefits and limitations of occupational exoskeletons. Results show that VR exposure better reveals task-specific usefulness of exoskeletons compared with information-only training and supports more informed user perceptions prior to real-world use.
@article{ransing2025_vr_exo, title = {Efficacy of virtual reality-based approach for users to understand the potential benefits and limitations of using exoskeletons}, author = {Ransing, Vishwajeet and Park, Jangho and Ye, Yang and Park, Hanjun and Kim, Sunwook and Du, Jing and Srinivasan, Divya}, journal = {Human Factors}, volume = {67}, number = {11}, pages = {1136--1151}, year = {2025}, month = nov, tag = {J.5}, sortkey = {5}, doi = {10.1177/00187208251346627}, } -
[J.4] Passive arm-support and back-support exoskeletons have distinct phase-dependent effects on physical demands during cart pushing and pulling: An exploratory studyHanjun Park, Alex Noll, Sunwook Kim, and 1 more authorApplied Ergonomics, Jul 2025Arm-support exoskeletons (ASEs) and back-support exoskeletons (BSEs) can be effective in reducing physical demands during various occupational tasks, yet evidence of their effects in pushing and pulling tasks remains limited. We examined the effects of using a passive ASE and a BSE on task completion time, shoulder and trunk kinematics, and muscle activity in the shoulder and back while pushing and pulling a moderately loaded (100 kg) cart. Forty volunteers (24 M and 16 F) completed the study. Using the BSE substantially reduced thoracic and lumbar erector spinae muscle activity for males, especially during the initial and ending phases of pushing (by up to ∼31.4 %) and pulling (by up to ∼25.4 %) compared to the No Device (ND) condition. In contrast, using the ASE showed no significant benefits, with females experiencing an increase in anterior deltoid muscle activity (by up to ∼46.3 %) compared to ND. Findings from this study help to understand the effects of BSEs and ASEs in pushing and pulling tasks and support the development of more versatile exoskeletons.
@article{park2025_push_pull, title = {Passive arm-support and back-support exoskeletons have distinct phase-dependent effects on physical demands during cart pushing and pulling: An exploratory study}, author = {Park, Hanjun and Noll, Alex and Kim, Sunwook and Nussbaum, Maury A.}, journal = {Applied Ergonomics}, volume = {126}, pages = {104510}, year = {2025}, month = jul, tag = {J.4}, sortkey = {4}, doi = {10.1016/j.apergo.2025.104510}, }
2023
-
[J.3] A pilot study investigating motor adaptations when learning to walk with a whole-body powered exoskeletonHanjun Park, Sunwook Kim, Maury A. Nussbaum, and 1 more authorJournal of Electromyography and Kinesiology, 2023Evidence is emerging on how whole-body powered exoskeleton (EXO) use impacts users in basic occupational work scenarios, yet our understanding of how users learn to use this complex technology is limited. We explored how novice users adapted to using an EXO during gait. Six novices and five experienced users completed the study. Novices completed an initial training/familiarization gait session, followed by three subsequent gait sessions using the EXO, while experienced users completed one gait session with the EXO. Spatiotemporal gait measures, pelvis and lower limb joint kinematics, muscle activities, EXO torques, and human-EXO interaction forces were measured. Adaptations among novices were most pronounced in spatiotemporal gait measures, followed by joint kinematics, with smaller changes evident in muscle activity and EXO joint torques. Compared to the experienced users, novices exhibited a shorter step length and walked with significantly greater anterior pelvic tilt and less hip extension. Novices also used lower joint torques from the EXO at the hip and knee, and they had greater biceps femoris activity. Overall, our results may suggest that novices exhibited clear progress in learning, but they had not yet adopted motor strategies similar to those of experienced users after the three sessions. We suggest potential future directions to enhance motor adaptations to powered EXO in terms of both training protocols and human-EXO interfaces.
@article{park2023_motor_adaptation, title = {A pilot study investigating motor adaptations when learning to walk with a whole-body powered exoskeleton}, author = {Park, Hanjun and Kim, Sunwook and Nussbaum, Maury A. and Srinivasan, Divya}, journal = {Journal of Electromyography and Kinesiology}, volume = {69}, pages = {102755}, year = {2023}, tag = {J.3}, sortkey = {3}, doi = {10.1016/j.jelekin.2023.102755}, }
2022
-
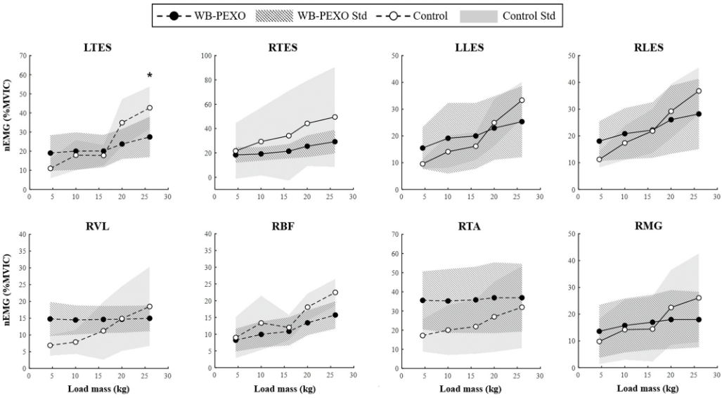
[J.2] Effects of using a whole-body powered exoskeleton during simulated occupational load-handling tasks: A pilot studyHanjun Park, Sunwook Kim, Maury A. Nussbaum, and 1 more authorApplied Ergonomics, 2022Whole-body powered exoskeletons (WB-PEXOs) can be effective in reducing the physical demands of heavy occupational work, yet almost no empirical evidence exists on the effects of WB-PEXO use. This study assessed the effects of WB-PEXO use on back and leg muscle activities during lab-based simulations of load handling tasks. Six participants (4M, 2F) completed two such tasks (load carriage and stationary load transfer), both with and without a WB-PEXO, and with a range of load masses in each task. WB-PEXO use reduced median levels of muscle activity in the back (∼42–53% in thoracic and ∼24–43% in lumbar regions) and legs (∼41–63% in knee flexors and extensors), and mainly when handling loads beyond low-moderate levels (10–15 kg). Overall, using the WB-PEXO also reduced inter-individual variance (smaller SD) in muscle activities. Future work should examine diverse users, focus on finding effective matches between WB-PEXO use and specific tasks, and identify applications in varied work environments.
@article{park2022_exoskeleton, title = {Effects of using a whole-body powered exoskeleton during simulated occupational load-handling tasks: A pilot study}, author = {Park, Hanjun and Kim, Sunwook and Nussbaum, Maury A. and Srinivasan, Divya}, journal = {Applied Ergonomics}, volume = {98}, pages = {103589}, year = {2022}, sortkey = {2}, tag = {J.2}, doi = {10.1016/j.apergo.2021.103589}, }
2014
-
[J.1] Manikin families representing obese airline passengers in the U.S.Hanjun Park, Woojin Park, and Yong KimJournal of Healthcare Engineering, 2014Aircraft passenger spaces designed without proper anthropometric analyses can create serious problems for obese passengers, including possible denial of boarding, excessive body pressures and contact stresses, postural fixity and related health hazards, and increased risks of emergency evacuation failure. To help address obese passenger accommodation issues, this study developed male and female manikin families representing obese U.S. airline passengers. Anthropometric data from the CAESAR database were analyzed using PCA-based factor analyses, and digital human models were created to support aircraft seat design recommendations.
@article{park2014_obese_airline, title = {Manikin families representing obese airline passengers in the U.S.}, author = {Park, Hanjun and Park, Woojin and Kim, Yong}, journal = {Journal of Healthcare Engineering}, volume = {5}, number = {4}, pages = {479--504}, year = {2014}, tag = {J.1}, sortkey = {1}, doi = {10.1260/2040-2295.5.4.479}, }